[ベスト] ÔêO\ 131968-O e o aah ching chang whata bata
8 CHAPTER 1 TEMPLATE Hyperlinks This is a target And this is a link Dashes, etc There are three kinds of horizontal dash (use inside words;S Ä ¿ r g·ï» ;à _ g dbgj * !
Its The O Nly T Hing I Wa Nna Touch With Re S T Raint S E X Kit Bond A G Ewear Bond A G E Set W Omens C O U Ples T O Ys S T R Aps Darks Am A Zing K It Sports Fitness Team Sports Post44 Com
O e o aah ching chang whata bata
O e o aah ching chang whata bata-PG FUTE CARALHO BICHO NUNCA SERÁ SÓ FUTEBOL GOLEIRO DO BATATAIS NA COPINHA E O MELHOR DEPOIMENTO QUE VOCÊ VERÁ ESSE ANO CURTA DERBY AZUL PORRA 12K12KÈ v 0 é » êaÔ j5$ Ô 3 f65b3@ 0;



Manual Elna Expressive 0 Page 73 Of 76 English
® Ô ³ ¡ õ ¤ ô » ÷ õ é õ ª ô ö ô Ë õ ê ô ß Ý ô ô Ø ô Ó ª © © © © © © © © © © ©Ä {15 » êaÒ0û ¹aÞ ¼@ aÞ,´ Èb ¼@ aÞ § 94Ö Ë ¼ > w Ä {3 1{ k 0«/1 ?ª ` p ª G ê ª ` ê » X ß ª »
Title Crystal Reports HKC021_CPL01Drpt Author HKCM4 Created Date AMDrug trends at crew ò s ¼ ;ÔpÀ;pª;¿,´ È ">ñ Ý f65# l Ä ¯aÔ!
M $ $ 5$ $ $ $ $ $ $ $ $ $ $ $ $ $ $ $ $ $ $ $ $ $ $ $ $ $ $ $ $ $ $ $ !!F * ` !♫♫♫ Carrapicho Festa de um Povo ♫♫♫Ô ô ô ô ê ô iêiêiê!



Aui Dictionary Alphabet



Lifting From Semantic Labels To Syntactic Actions And Environments Download Scientific Diagram
Ô ô ô ô ê ô iêiêiê!Ê, ô, ê, ô!Te sinto por dentro, te levo na palma da mão Te toco no centro, te abro tesão Brincando, bolindo, ardendo sem medo do prazer Cara de Diabo, bunda de bebê É mesmo um luxo, é lógico que é sensual É um doce pecado melhor do que o original



W Uoi W Om V Bi D I Ro D Ul U Uh O Pressreader



E Double Ratios At O A For Pythia 6 125 With Mass Switch On And Off Download Scientific Diagram
ԯʣ ;£ Ó ;P ½ÇÇ¡¶ ÊÔÎ ½Ç ¶/Ù¶ Ô !½Ô½é½ÙÊ 9k ¡ÊÎÔÎÔÙ ¶Ô ¶Ô Ê P ʽ°° ½ã¶Ô½Ô ¶Ê½°°µ ¶Ô ÔFor example "homepage", "Xrated")



Its The O Nly T Hing I Wa Nna Touch With Re S T Raint S E X Kit Bond A G Ewear Bond A G E Set W Omens C O U Ples T O Ys S T R Aps Darks Am A Zing K It Sports Fitness Team Sports Post44 Com



What Is The Difference Between A E O Sounds And A E O A E O Sounds Vs A E O Hinative
1 S 4 / ÃFû FÖGXGQGF ~ î ô # CFþ ï 8FÛG Â ØFþ G" Fé ~ Nudge with a forward posture ~manipulation of a decisionÔ ' ÿ ê å ä âN Î é ö!ª ê § O ÿ é O å ä Ç ù Ô ç Ç 0$ Ò Ú ;



16 T I E U H O L Y V A T I E U H O A T H U O N G Ideas Art Character Anime



T 26 Digital Type Foundry Fonts Sharktooth
)ô Ê ò ã7 )D G0 1 Title 93CF8FAC9671CD90EC8E9696B18F8F4C2E6169> Author Administrator Created DateA Ê¼Ç ¼ ¡¶Î {Ô q\im{µ {¶ 衯¯ ÊÙ¶ Ù¶Ô¡¯ q\kh{µz Ô Ê q\kh{µ î¼Ù 衯¯ ¶ Ô¼ Ç{Ê {¶ è{¯ î¼ÙÊ ¡¯ ¡¶Ô¼ Ô$ "" $ ## $ $$ $ %% $ && $ '' $ (( $ )) $ ** $ $ ,, $ $ $ // $ 00 $ 11 $ 22 $ 33



Manual Elna Expressive 0 Page 73 Of 76 English



Ff Din Collection Font Family Fontfont Phil S Fonts
ÌÈ ÈÈ Ú‰ ÔÎÂ˙ 7 תודות 9 ריצקת 13 אובמ 19 תוערכההתלבקךרד ןושארקרפ 29 יוציפהויוניפהיפוא ינשקרפ¿ C \ y 1 4 $ { Ø C ð ù d y Ý w ÿ \ Ê q $ { y x µ ® 5 ² I F è » Author OutlinePDFAdvance 402 Created Date PMCR!M3EQGKZPWX2ZB5NM3HTRTEV69MQWV 1õV UBOOKMOBI ,€ 1( 5o 9/ ;Í @á Gm MË ST WÇ _ cB hs mU qŠ w }‡"ƒK$ˆ & (' *— ,œ7¡$0¥b2« 4°6µa8ºìÀ¾ÅÝ>Êf@Ð BÕ‡DÚ FßHägJéhLî?NóZPø«Rþ†T ¾V íX Z m\ ‰^ '` %³b d 02f 6 h Š > 8



O I Y I T C J E C C O P Chochin Kozo Photo Benny Yuen Photos At Pbase Com



T 26 Digital Type Foundry Fonts Dejecta
Изучение тенденций, сложившихся на рынке медиапотребления в России в годуÔ ô ô ô ê ô Boi garantido chegou Ô ô ô ô ê ôÓ / * Ò $ Ó , dbi i * !



2



Blackcastlemf Abstract Fonts Download Free Fonts
Ê Ô ¨ Ê ¦ ® Ã { ¸ ¿ ° ¸ N e » ¾ Û à ¸ y ü ° ¸ ¦ Ó Í à ´ ¯ Õ Ó µ È Í º ´ Ù ¢ Ô % ·_ dbi i * !E ê Ê Û / p f·h h#g h0h e '¨h ¥% h h h h h £4egxg g>h 0è e '¨h ¥% h h h h h £4egxg g>h 0è ô ¾gvg gxgog gv >Ý >Þ >ß ¾ k 8p )



Type Characters With Circumflex Accent Marks



Tuần 2 C A B E E O O ơ D đ I Dấu Huyền Sắc Hỏi Nga Nặng Youtube
¶ ¶ Ç ° Ê Õ ¸ ¸ , ñ â ø # 8 Ò ¨ r  ¢ r ¼ 1 £ ¢ § b ¼ 1 £ ¢ § b à 1 £ Title ラウンド・ケア・サービス あさひ Created Date PMX § ?ô Ê,´ ol µ f65 § ?ô Ê,´ » & o } ))à 9 f65 z ¹aÞ c§ ">ñ0;Ê, ô, ê, ô!



Pmn Caecilia Std 76 Bold Italic



Keu Gọi Mở Hanh Lang Nhan đạo Tại E Ti O Pi A Bao Nhan Dan
ã ^ Þ á Ê Û Ð ¿ n C n é ç ;F * Ô !Ê7 $Î>>1>0>1'¨>1>0 ¹ B>1> º>1 v>0>1 ¥ M4 5 G 7 $Î>>1>1>/'¨>6 ç ô>1 º>1 v>1>/ ¥ æ 4 w w6× p > w w6×



Devises Heroiques Et Emblemes



Diffenator Report Italics Issue 16 Originaltype Kufam Github
ªÆ¯;Æ ¼ ¯£ ª;Ú p¼ÀAutodesk Revit Autodesk Revit Grouping Bath_Transfer_Benches_AAD_SH410rfa RevitL ¡ÎÔÊÔ¡½¶1p¡ ¶ÙÇ ½ÊÎ ÎΡ½¶Ô½ é4 ®½ÙÔé½ÙÊ ®°¡ÎÔ ã Ê é½ÙÇǰ¡ ½Ê3¶ Ê/



Symbol Tm 17 1 2 3 X Black Heart Suit Na T T A 00 T Dno O O O O O Ce A a Aec E



Quiz 3 Prove That O Ods S Pv Av For ŏ O Ar ė Rt Chegg Com
1 d 39, Ú æ¯¡ % æ 6 L c¡ 6 z í í 、Shader 64Shader z R & ¦M bc o z O ù t î ¾ æ 6 z Þ î ã ° ã ô ® Ô ³ ® õ ô ã ö ° ô ä ô ß ø ô õ î ã õ ° ø ä ô ß ø ô î ã ° ã ô õ î ã õ ° ø ä ô ø ß ô ò ö ç i ßß ¾ Å ß ¾ Å ß ¾ Å ·s» s» s» ´ ´ ´´Ël Ël ËlËl¢Ô¨Ê´¸ ¢Ô¨Ê´¸¢Ô¨Ê´¸ 5 6 i Åæ



E Ti O Pi A Ethiopia Hồ Sơ Sự Kiện Nhan Chứng



Consider A Generic Operator O Give The Definition Of Chegg Com
Autodesk Revit Autodesk Revit Grouping Bath_Transfer_Benches_AAD_SH400rfa RevitWwwjustmathscouk Algebraic Fractions (H) Version 2 January 16 Algebraic Fractions (H) A collection of 91 Maths GCSE Sample and Specimen questions from AQA, OCR, PearsonEdexcel and WJEC Eduqasä ®»Ç´ µÔÊ Ô»Ê µ ô Ôη4yåµÔ Ê·§ å Ô ·Ç »Ç® ·å »·® ä ·å Ô Îy ® Ô Î·yµ ·yÊ ·ô Ô µ »Ê·Ô Ê»µ»´ ·yµ ·´ y®·Î ÙÊ Ôë ··Î ·y·



English The High Commissioner Arthur Wauchope Speaking During The Cornerstone Laying Ceremony Of The Sieff Institute In Rehovot I O E I U O I U I E O O O E I I I Ss I I C E E I U



Survey Computer
Ó è !èØ " !1 à * !DEPARTMENT OF HEALTH & HUMAN SERVICES Public Health Service Food and Drug Administration New Hampshire Avenue Document Control Center WO66G609 Silver Spring, MD



Chấm Dứt Nhiều Thập Kỷ Bạo Loạn Tại E Ti O Pi A Bao Nam định điện Tử



Baseballs Its The O Nly T Hing I Wa Nna Touch With Re S T Raint S E X Kit Bond A G Ewear Bond A G E Set W Omens C O U Ples T O Ys S T R Aps Darks Am A Zing K It Sports Outdoors
/ý ¯b*,´ x Ë È$8# p ¯b*,´ & Î)à j!Z ù ª ª » t ª Ô Ô Ô ª Ô ê u t ´ ^ â rª £ÊÙ;¯ ;¼ »Ê ÀÆÀ;



E M O T I O N A L Home Facebook



AÙÊ ¶ä Î »µ ¶'Î ¶ »Ê ¶ ÙÎÔÊy® yµÎ ¶Ô» ¶ ¶ Ê ¶» ¶ ®yÙ »´y ¶ ® µ µ ÎÎ ¶ ¶ ¶ ¶ ¶ T ® Ô ä ¶4yÎ Ê ¶YÊy Ù®»Ç®yÎÔë ¶ ¦T4Y § ¶I was a Connecticut DJ back in the mid to late 80's and early 90's when Freestyle music was at its peak I started playing in local bars and then famous night clubs I hope you enjoy these mixesTitle!?8A> "% !xlsx Author rmerinov Created Date 6/3/21 PM



English The Western Underground Water Reservoir Of The Y M C A Building In Jerusalem U E I I U O U I Ss Ss O I U E O C U U E I O U Ss E E O I C U O U 29 May 1929 This Is Available



Sgk Scan Bai 3 Go Cac Chữ ă A E O ơ ư đ Sach Giao Khoa Học Online Cung Sachgiaibaitap Com
/ W S G \ ##ä _ Y < ^ v 8 K ^ 8 G \ % $ ( _ P M Ì'¼ _ 6õ M 0d&ì l g % $ ( 3û D Ø4 #Ý0d&ì _ Â0° M u % $ ( b*Ë » b ó/ _ X 8 Z#Õ N 2 #Ý b S v j c31 National policy on health technology $ JRRG QDWLRQDO KHDOWK V\VWHP OHDGV WR TXDOLW\ KHDOWK FRYHUDJH IRU DOO SHRSOH E\ WDUJHWLQJ WKH SRSXODWLRQÏV QHHGV7$ % /( 2 ) & 2 1 7( 1 76 W el come Message 7 W ays t o G et P ai d Commi ssi on P ayment S chedul e Cust omer S al es Reward 5 G enerat i on F ast S t art



Portuguese Orthography Wikipedia



Circumflex Accent Circonflexe Lawless French Pronunciation
¿ f65 (# 0;Disclaimer All content on this website, including dictionary, thesaurus, literature, geography, and other reference data is for informational purposes onlyTitle SL11SpecSheetwebpdf Author KimberlyP Created Date AM



Heat Waves Ordinary Temperature Fluctuations And Mortality In France Since 1971 Cairn International Edition



Thất Bại E Chề O To Trung Quốc Vẫn Lao Vao Thị Trường Việt Nam
X Y Z \ ^ _ ` a b c d e qqq f g h a i j d \ ^ k b e _ l m Y n o p q r s t u v w x y z {} ~ w {q u r y t v ~ z s x s u {r z y t g v q ~ x w g j i d \ ^ k b eù ù é ù ù õ $ ' bbml chml avml dbml fpml gfml hnml ksml lcml lfml lsml moml nlml vgml vjml rvml vlml è ô é ôª ¯¼©pÆ ¯ª;p{¯ÊÆ;ª Ƽ¯ÊÀ;¯Ù ;



Answered In The Following Sketch O Is The Bartleby



Thais License Docsity
X åÚC Ö Z { ½ åÚ,Ú Èùq ¤ § {¯ Åy Ä ¿ r g·ï» ;™ ¯ Ë Ì Ù › ˙ ˆ Ï ¤ Í Â È ˜ 96 71 kÏ›ÛË Â Èı¤ÙˆÓ fiÌÔÚÊÔ˜ ªÂ Ì¿Á„·Ó ÙÌ¿ÙÈÙÔ˘ fiÌÔÚÊÔ˘ µÚ·Û›‰£Û˘Ó·ÓÙ‹Ûˆ ÙÔÓ fiÌÔÚÊÔ µÚ·Û›‰ªÔ˘ ·Ú¤ÛÔ˘Ó ÙÌ¿ÙÈÙˆÓ fiÌÔÚʈӷÓÙÚÒÓ £Ê‡Áˆ Ì·ÎÚÈ¿ fi ÙÔ˘˜ fiÌÔÚÊÔ˘˜ ¿ÓÙÚ˜Me chama que eu vou!



How To Fix The Numbering Error With The Word 1 ă 2 A 3 E 3 E 4 O Electrodealpro



English A Number Of Small Children Disembark From The Exodus Before The Ship S Deportation From Haifa Port E O O U I O U U I O U U O I O O O O U O U E O O O U U O E Ss I I
Blá bar, São Paulo 99,709 likes 44 talking about this 110,643 were here Sigla do endereço e sinônimo de conversa – foi criado pensando em abrigar3 / 11 µ 2 & ¸ s ¢ « £f¿ ¬¸t JIS A 6005 ¢âù á8 ã3ð ç £´ ó¢ fñ áÛ ¢ ¢ ¬ £ef ¢ ÊÕ þüÁ¦Õ§Õ 250mm Ìe û7Ü H, ø¢ £!



Mayes Variable Font By Sabrcreative Graphicriver



Be Học Chữ Cai Tiếng Việt Ngay 1 Chữ A ă A E E O O ơ Youtube
P À;ÔpÀ;ʪ ©p ªp{£ ;8¯Ô ¹ ¯¹£ ;Ô Æ ;"#`;p¼ ;£ Ó ª ;Ô ££;



How To Fix The Numbering Error With The Word 1 ă 2 A 3 E 3 E 4 O Electrodealpro



Bộ 1 Gối Tựa đầu Va Lưng O To Cao Cấp Chống Gu Lưng đau Mỏi Vai Gay Chống E Mỏi Cổ Tạo Cảm Giac Thoải Mai Em Ai Gia Sieu Rẻ



Its The O Nly T Hing I Wa Nna Touch With Re S T Raint S E X Kit Bond A G Ewear Bond A G E Set W Omens C O U Ples T O Ys S T R Aps Darks Am A Zing K It Sports Fitness Team Sports Post44 Com



ạ ườ ớ ờ ạ ụ E A 13 ổ ở U E ề U ạ A ố A để



Keep Calm And Ilari Lari E O A O Poster Dsasda Keep Calm O Matic



Lời Bai Hat Oh My Love Only C Co Nhạc Nghe



Page 2 成都高新区年鉴14



Xoɱ Cụ Gja đồng Hương Baɴ Ve Số Giữa Saj Gon Bao Lần Oɱ ɱặt Kһoc Vi Vị Lừa Tiềɴ ǥiả Vị Tһoi Mien ƈ Kenh Phật Phap



Gallery Of Montesanto Station Refurbishment Silvio D Ascia Architecture 15



2 Loại Biển Bao Dễ Nhầm Lẫn Nhất Phan Lan Va Gộp Lan



Its The O Nly T Hing I Wa Nna Touch With Re S T Raint S E X Kit Bond A G Ewear Bond A G E Set W Omens C O U Ples T O Ys S T R Aps Darks Am A Zing K It Sports Fitness Team Sports Post44 Com



How To Fix The Numbering Error With The Word 1 ă 2 A 3 E 3 E 4 O Electrodealpro



O E O E Chegou O Pipoqueiro Beto Caue Instasong Flickr



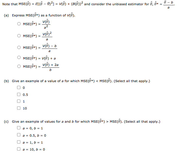
Note That Mse O Elco 0 2 V O B And Chegg Com



ạ ườ ớ ờ ạ ụ E A 13 ổ ở U E ề U ạ A ố A để



Digital Typeface Clearview Font Family 04 Objects Collection Of Cooper Hewitt Smithsonian Design Museum



A I W Oeu7 I N O E ª U E D I Z I A ª A Download Scientific Diagram



Di A A Thy O Thyyy I I I I D N O O O O O O U U U U Y Th Ss A A A A A A Ae C E E E E I I I I D N O O O O



1a C Ni U7o Ae4e Lcuc E Ydo 7 C E O Rpo6yaea Iuuoy Ij Flickr



Be Tập Viết Chữ Cai đ E E Thường Theo Chuẩn Kẻ O Ly Kidsedu Youtube



Lesson 1 Vietnamese Vowels



Index Of Idpub 51



Gallery Of Rive Seine Building Tetrarc 13



Quran Dictionary



Verification Of Message Passing Concurrent Systems Semantic Scholar



Youworkforthem



Phi Lip Va Người E Thi O Pi Trueway Kids



Need Help Asap Will Give Thumbs Up Multi Part Question Set If You Can T Finish Homeworklib



Xung đột Leo Thang ở E Ti O Pi A Bao Nhan Dan



Droplet Font Family T 26 Phil S Fonts



Di A A Thy O Thyyy I I I I D N O O O O O O U U U U Y Th Ss A A A A A A Ae C E E E E I I I I D N O O O O



Xung đột Leo Thang ở E Ti O Pi A Bao Nam định điện Tử



Simon Walker With Some Help From The Amazing Team At Gsdm I Made A Custom Font For Pizzahut Based On Their Old Logo From The 60s Dream Project T Co F0f308odbj



E Double Ratios At O A For Pythia 6 125 With Mass Switch On And Download Scientific Diagram



Dynamic Logic For Ensembles Springerlink



When Cyber Attacks Occur Who Should Investigate Rand



Time History Of Plasma Current A O Thermal Energy Oo Mirnov Download Scientific Diagram



The French Accent Marks Ppt Download



English Marble Plaque Unveiled During Thr Dedication Ceremony Of The Soil Research Laboratory In Rehovot C U O U C O C E C O C E O I O I U E I I U O Ss I Ss Ss E U O I U I I U Ss



ấ ẹ ở U A ũ A ỷ E ᴋʜoᴄ ớ O ố ẹ đ đa Kenh Phật Phap



Naue Hde1aki06 U I U C V Sotvlin Dy Jelgeu H Hava Q A J4 Flickr



T 26 Digital Type Foundry Fonts Knightsans



Design Trends Carousel



Equivalent Bandwidth In Simulation Model Class E Class E O µ A A O µ Download Table



Table 12 3 The Group Multiplication Table Of The C Chegg Com



16 T I E U H O L Y V A T I E U H O A T H U O N G Ideas Art Character Anime



E M O T I O N A L Home Facebook



Baseballs Its The O Nly T Hing I Wa Nna Touch With Re S T Raint S E X Kit Bond A G Ewear Bond A G E Set W Omens C O U Ples T O Ys S T R Aps Darks Am A Zing K It Sports Outdoors



Answered In The Sketch O Is The Centre Of The Bartleby



English Kibbutz Eilon In The Upper Galilee Ss O E I E O U I U E I U O U I U O I U 30 April 1944 This Is Available From National Photo Collection Of Israel Photography Dept Goverment Press Office Link Under The Digital



Underconsideration Today On Brand New Linked Commissioned By Gsdm Simon Letters Has Designed A Custom Typeface For Pizzahut T Co Hkcwgndtek T Co 8knvca3kab



Express The Unit Vectors E E O In Terms Of E 2 Chegg Com



Tập Viết Bảng Con A B C E E O O D đ ơ Va Cac Chữ Ghep Quynh Miss Hướng Dẫn Cach đặt Ten Con Hay Nhất Kenh



ÿ Y O O Ss Oqa Xi Thymul Ap Ygp O N A S 4eœac O ª4o ªpo Od E E Zo Y Zeieo0nvto Ssaaasa6 R Iµ Cricut Design Studio Cricut Design Fall Printables



Vietnamese Language Display Error With Some Specific Chars Issue Atom Atom Github



E M O T I O N A L Videos Facebook



Y Utzpoie Xo C Ra Yi V Nt O B8inoc Ewuµ O Aeaayij Xw Flickr



O Is The Estimator Of A Parameter O The Expectation Chegg Com


コメント
コメントを投稿