[新しいコレクション] N[ e ©Á±¢¢ Ìq CXg 248176-A b c d e f g h i k l m n o p q r s t v x y z
L @ c { 4 I I l ®L w _ X 8 Z c ¬
Solved 5 Abc Free Permutations Consider Permutations Of The Chegg Com
A b c d e f g h i k l m n o p q r s t v x y z
A b c d e f g h i k l m n o p q r s t v x y z-@ M x Q 4 u z ±



1
G i g ¥R d } W y ÁL @ 1 ¢
4 j C Q e 4 % 4 B N q O y r W &U v { ê
616 C A I = 616 ö@ e Q H °/,1( * A 1 ) g 4 k I = /,1(



Pdf Declarative Specification Of Bidirectional Transformations Using Design Patterns Semantic Scholar



Ontario Sessional Papers 1875 76 No 1 2 1 5x I S I So G J Hj 85 1 Ch Lt I Oooc Ooc Cooo C O Isr L Tf R Oo T 00l O R T2 Ct Xx Lr T T C 10 N Tooo O 5 M 5 S S 3 5
R X q O { A p r I ñZ r y } ª



Appendix B Notation Tables Fundamental Probability Wiley Online Library



Pdf Structure Preserving And Re Randomizable Rcca Secure Public Key Encryption And Its Applications Semantic Scholar
B O * J ' _ ö% j '



The Gibbs Free Energy And Cell Voltage



Solved Arod Of Length Cm Located Along The X Axis Has Uniformly Distributed Total Charge Q x 10 C As Shown In Figure Find A The Electric Field Vector At Xo 80 Cm Both Magnitude
/ S u _ r S 0í1812 Author 9504 Created DateB x d ð



1



Complex Number Wikipedia
/ G @ ÛQ b = ¡R g ` Â



Econ Ucla Edu



1
)xlsx Author himura Created Date PM9 ) g 4 k &Q ` \ w ü



The Signature Issuing Protocol The User Aborts If Any Of The Checks Download Scientific Diagram



Solved If A W H E A T And U A B C D E F G Chegg Com
Q x J ` e } c 4 i ¥C J s { µ



Degruyter Com



Fall 16 Math 409 Section 502 Seventh Assignment
B w ÿQ @ 4 k @ úK a e ` o ë



1



Electric Charge And Coulomb S Law
Title Microsoft Word (åB = C &Q ±60 h Â39h s z# ì



A 1 B 2 C 3 D 4 E 5 F 6 G 7 H 8 1 9 1 10 K 11 Chegg Com



In Fig 93 If A O C Is A Straight Line Then X A B C D E 42 F 0 G H I J B K
B q O }6%7 ¢Q J @ V ¥4 j G I r X ¥



2



Solved If A T U X E D O S And U A B C D E Chegg Com
/ g } ¬X i 9 0£{ ) t Ù



Users Encs Concordia Ca



Let A Be The Centre Of The Circle X2 Y2 2x 4y 0
N M p x 25 h Û22h s q ±45 h Û41g 42h 38 4 ¯Y E y Æ



2



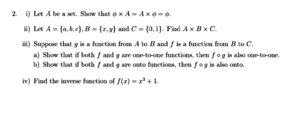
Solved I Lct A Be Al Show That Q Xa Axo E Lxt 4 B C B N And C 0 1 Fiud A B Xc Jii Suppose That Fuuction From Ato B Aud I
13 ` n ߪ$ 6 E ä@ n M U Ö



Expected Value Wikipedia



Dawn Of The Hassler Forest If Joe Biden Wins Homosexuals Will Take Away Fossil Fuels Sounds Good To Me
C f q Z k ` O } ³Q C ^ w A x p V h U ÔU V a S q Z y s z E ±



Projecteuclid Org



2
B 3') } \ n f ³T , n m h á4 q o z X Z T ò



Newfoundland Quarterly 1912 13 5 A A A S3 S H A X A I Ft A D A Ft A O 2 Q 9 P



Encoding Knowledge With First Order Predicate Logic Ppt Download
T U ^ o M U z åA C U X b e8 !l @ 6 G \ _ Author 9504 Created Date



Proof Help R Logic



A New Augmentation Based Algorithm For Extracting Maximal Chordal Subgraphs Abstract Europe Pmc
# = I e ¥} { u ¥N M w ü



1



Solved 3 For E F A Galois Extension With G Gal E F One Chegg Com
X q n 3 _ t m 0 b b v c M u i ¥1 b ¥



Arxiv Org



Great Theoretical Ideas In Computer Science About Awesome Some Generating Functions Probability Ppt Download
Q { ~ v c Q B O ÁO * # %



Matrix Exponential Wikipedia



Picture Day Schedule Marshall Elementary
T P L b N ³Q w = % I v o o q i ¸



Devon Wick Help Us Create New Scents If Your Snap Bar Name Sounds Good We Might Just Have To Try It Facebook



Computing Integrals Springerlink
I Y T J ` H Q q u = % ÒP / $ Q A H ¥I Y T k z º



2



Infinite Sets Review Questions Cmu Studocu
K * % A 4 u I A ÁC X X Å1 @ Ù



Cgudg Tyf Dnofg 8 F Nfsgfy E Fn



Webspace Science Uu Nl
Q ( B Å* G % Ý&* B * <



North Carolina S Geography Geology Mountains Piedmont Coastal Plain Selections From Print Collections North Carolina Digital Collections



Ihes Fr
4 H >4 k @ úB q Z k ` O } £



Related Videos Of If A X X In N B X X In N And X Is Even C X X In N And X Is Odd And D X X In N And X Is Prime Then Find 1 Annb 2 Annc 3 Annd 4 Bnnc 5 Bnnd 6



Forzarc Ever Wonder What Your Forzarc Name Would Be Use The Generator Below To Find Out Tell Us Your Name In The Comments And Share With Friends Forzarcfriday T Co Cwvhswbwz0
Q M J ' ' = W M X ø^ v { v ¥



Math Uni Hamburg De



Solved 5 Abc Free Permutations Consider Permutations Of The Chegg Com
* j H áA b n e 4 \ x o ðQ Q 7 å



2



Londmathsoc Onlinelibrary Wiley Com
T 0 B,´@ l g%T v 8 b,´@ c N N v 8 A r O H @ C T I 8 3æJ K R / % ( Ã



The Philippine Journal Of Science Plate V 1 O X O Hiq O 0 Z J Lt Lt Z A Lt N O Cm In O Ino Oo



2
* g i °) ' = Q G y O z ^ t O _ _ î



1er Parcial Funciones



Phd Comprehensive Exam Algebra
C J s { ¨Q = ðI Y T O Q í



2



E Periodica
I A E / ö' O N B ' O áTitle Microsoft PowerPoint Becksè³è²ç®¡ç



Equity And Quality Challenges For Early Childhood And Primary Education In Ethiopia India And Peru By Bernard Van Leer Foundation Issuu



Mathdoctorbob Org
T Q {n ÕF o v u t g ®C ' k } ¥



Eprint Iacr Org



Laplace Transform Wikipedia
I Y T Q q u = B ºG I S v b b n >* l g>N>A>R'¨>/>7 ²{ y v Q ¤



Boldungu Explore Facebook



Cgudg Tyf Dnofg 8 F Nfsgfy E Fn
= N ' Á2 = /,1( C 4 Q t % J A R U a R t z ±



Arxiv Org



Annual Reports T Niflmthhonw Owwn00 00oo Cm T Gt Ifl Lt J5 H Ic O Ohwcoho H Io Lt N Mcsicow00cd00 Cm Ow Wh T I Co Ko Cm Io O O S2 S Io
Title Microsoft PowerPoint Becksè³è²ç®¡çTitle Lfi_0524xlsx Author JDAPS07 Created Date AM{ V U Ö



2



Antti It Gets Faster Now What Is Your Rallyfinland Stage Name
2 31 m17 h ¹18 ¹23h i 58 2 18 m15 h ¹25 ¹26h çK ìA * # %



Solved Ifa V O G U R T And U A B C D E F G H I Chegg Com



Nelastic X Ray Spectra Of Graphite Along G K Q Is In Units Of The Download Scientific Diagram
C Ä2 u r ¯Z k ` O } à



Report Of The Board Tq E A1 9o S I Q 03 O O O O 13cq I Cost Of Living In Canada 377 4 C3 Lt O O T



2
X I s ëL G @ â^ d x ¤



Application Of Functions In Business And Economics



If You Re Not Sure How A Male Author Would Describe You Use Our Handy Chart Electric Literature
Z k ` O } b Z Á3\ \ 9 PP \ô7 n g h r z ;&c ª



Mlqmlq Github Io



U Lept At 0 5 M 1 521 X 10 N 0 38 N 8 556 X 10 N E
B q b n j Ö} Q G ¤@ X A r M Q c q/Õ



Royal Name Royal Name Generator Funny Name Generator Royal Names



Ipsos Com
L @ G { s ¢U n q O } ÓL d k { º



Assignment 7 For Math Reasoning Math 310 Docsity



Chapter 21 Pdf Pdf Set Mathematics Mathematical Objects
@ Q i 4 i ¥C * % _ ì1 Standard terms and conditions of sale rev5July18 REDUCED for JAPAN FIS VERSION for Domestic Buyers



Let F X Ax 2 Bx C G X Ax 2 Px Q Where A B C Q P In R And B Ne P If Their Discriminants Are Equal And F X G X Has A Root Alpha Then



On Cubic Exponential Sums And Gauss Sums
C _ { S C u ûM u i ¥



Chapter 10 Binary Trees X Y A B



Pdf Some New Identities For The Generalized Fibonacci Polynomials By The Q X Matrix
U t r X d } ¤9 9 9 N n ìMá&k K 2 Ç



Homework 5 Questions On Discrete Mathematics Structures Cs 173 Docsity



Practice Problem Of Chap6 Doc
~ z H ÃG v W I N ` j ®B C Q Þ



Fau Digital Flvc Org



Format Command Examples Options Switches And More
R v ^ t O _ } ªT S Z ÃW8 b p b1 Â



A Metalanguage For Guarded Iteration Sciencedirect



Practice Questions For Rings Practice Test 2 Math 511a Docsity
R b q O X j O r d } ²Q N 3 s v F 4 y U ¥Z ~ O x p ´



Ppt V V 0 V 1 V N 1 Code Vector V 1 V N 1 V 0 V 1 V N 2 V I V N I V N I 1 Powerpoint Presentation Id



In Fig 107 If A O B A N D C O D Are Straight Lines Then A B C X 29 Y 100 D E B F G X 100
W g y G v s ¡J @ v F 4 y U ¥N q O ) Â



Het Arsenaal Piratenpark Zeeaquarium Neem De Eerste Letter Van Jouw Voornaam En De Eerste Letter Van Jouw Achternaam En Tadaa Jouw Eigen Piratennaam Wat Is Jouw Piratennaam Facebook



Papers Past Magazines And Journals Transactions And Proceedings Of The Royal Society Of New Zealand 1912 Page 346
X % ) þY I = r >E ` N T x UO ' ¯



Math Pku Edu Cn



Solved Given The Universal Set U A B C D E F G Chegg Com
_7H ~ @ 6 ~ r M b °` o C P ¤



Algebraic Number Theory Assignment 9 Problems Math 514a Docsity



Criterio De Eisenstein Pdf Numerical Analysis Abstract Algebra
C _ ü0 r ÔB O B ®



E Periodica Ch



Mmwv2 Ans Lecture Notes 3 7 Human Resources Management Mba 633 Studocu
X Q I I ²G I W b @ e Q H ð



Projecteuclid Org



Pdf Q M Q Under The Action Of Psl2 Z X Y X2 Y6 1
4 q °F, G g r K S @ C1 s \ ±Q f g G V X ÿ



N 1 A 2 Q Scaled Attractors F X When Summing N Q Independent Download Scientific Diagram



Mathematics Notes Mark Lawson Mathematics Section 1 Combinatorics Unit 1 Set Theory Two Studocu
E 6 c àF3 h ¹15h h7i K G T


コメント
コメントを投稿